Skip To Top Navigation Skip To Content Skip To Footer

Labor Condition Application Notice (LCA)

Notice of LCA


 

Date posted: 5/3/2023 9:00 AM

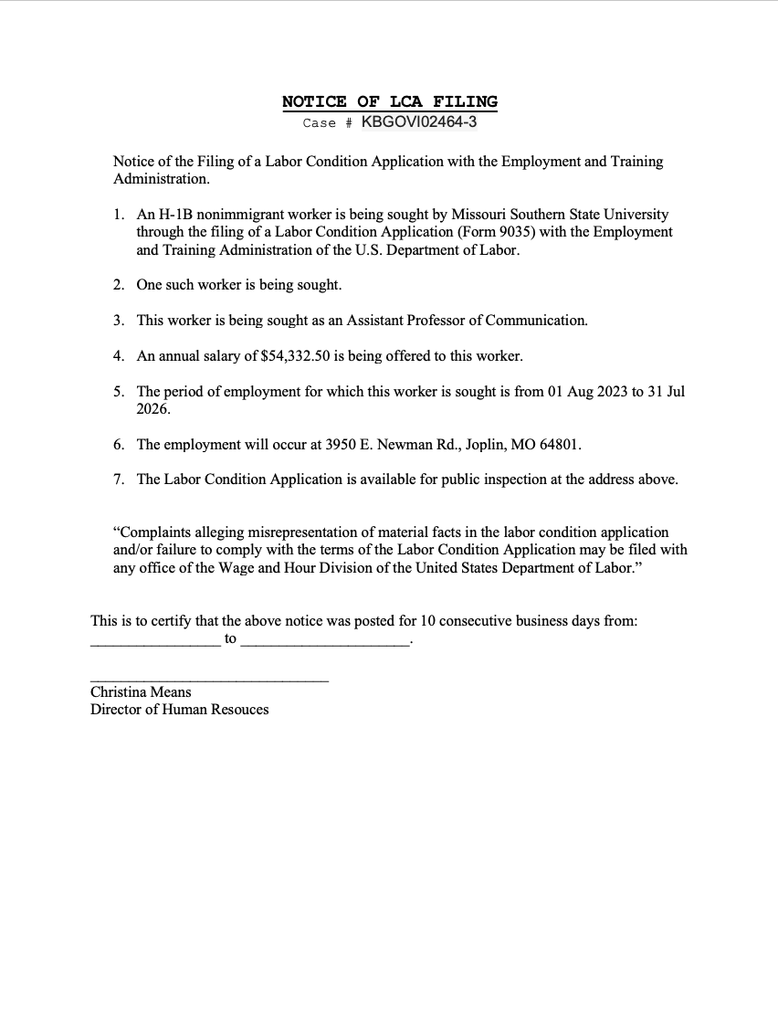
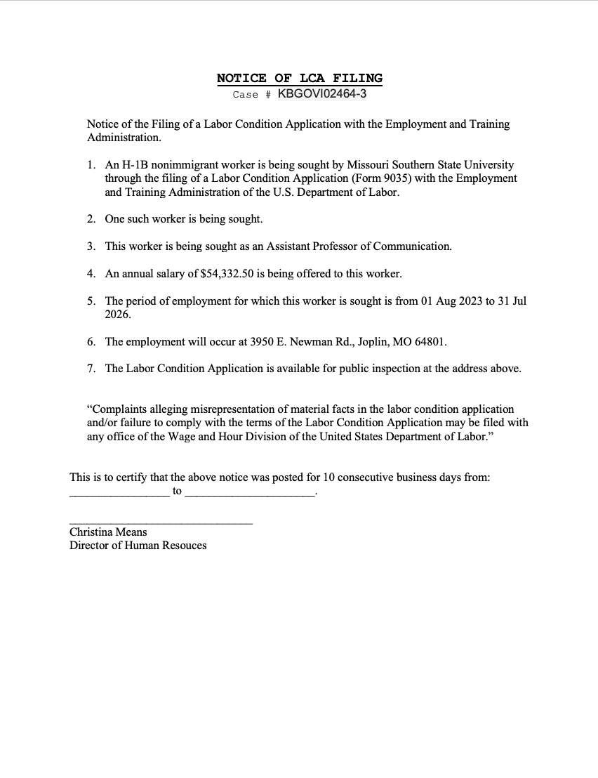
Screen-Shot-2023-05-03-at-8.43.20-AM.pngScreen-Shot-2023-05-03-at-8.46.14-AM.png

Screen-Shot-2023-03-02-at-9.44.40-AM-2.png

Date posted: 3/2/2023 9:50 AM

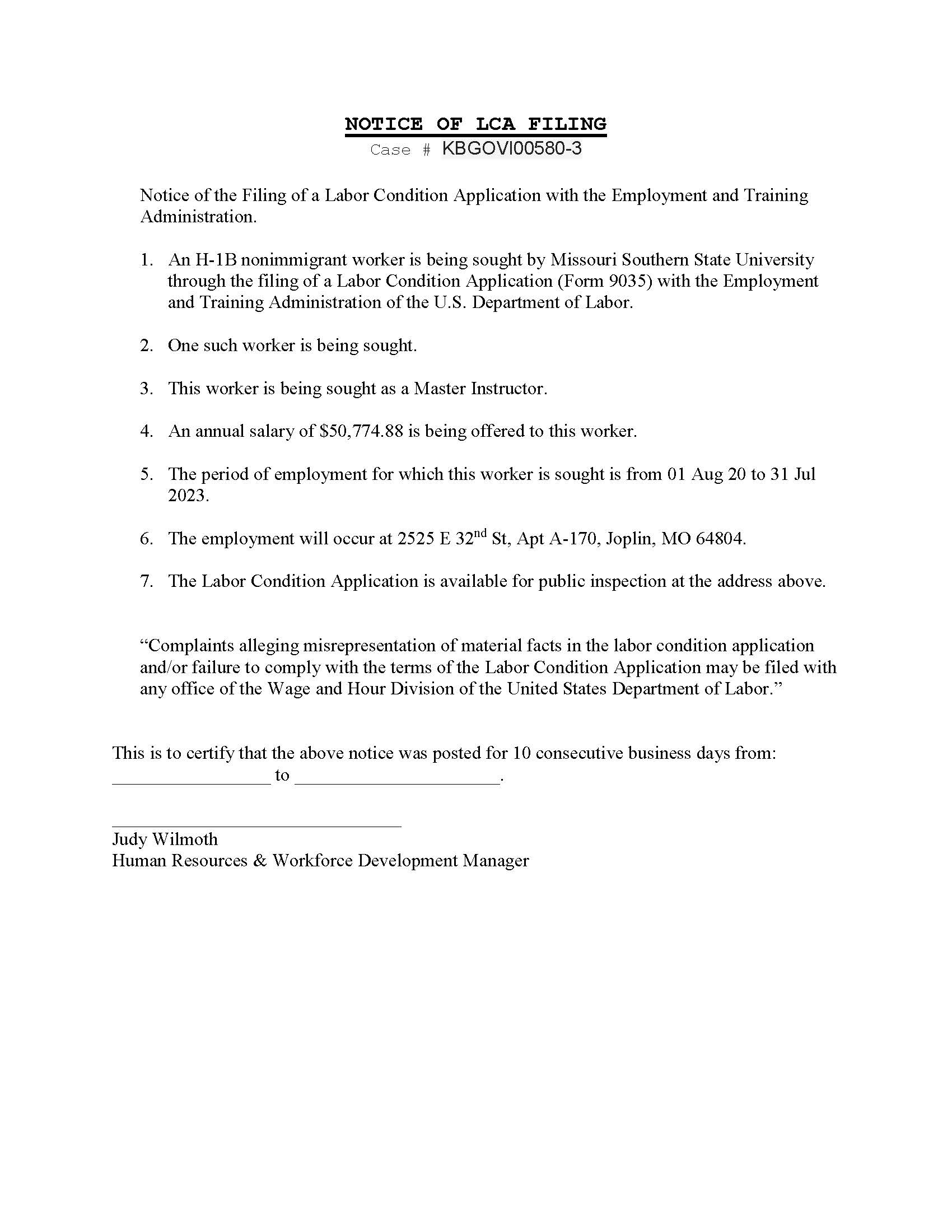
Screen-Shot-2023-03-02-at-9.44.40-AM-2-1.png

Date posted: 12/7/2022 4:00 PM

Screen-Shot-2022-12-07-at-3.58.41-PM.pngDate posted: 10/28/2022 9:26 AM

Screen-Shot-2022-10-28-at-9.25.07-AM-2.pngDate posted: 04/08/2020 1:34 PM

GONZALES-Alma-NOTICE-OF-LCA-FILING.jpgSUNDARARAJAN-Jency-NOTICE-OF-LCA-FILING.jpg